Магнитное поле: свойства и «парадоксы»
Кратко:
Модель «магнитное поле» крайне неудачна. Свойства, которыми её наделили, противоречивы. Они неверно отражают участие магнитного поля в различных процессах и приводят к множеству «парадоксов».
Электрическое и магнитное поля появились в электродинамике почти одновременно с зарождением самой электродинамики. М. Фарадей, а затем и Дж. Максвелл ввели эти понятия, чтобы исключить дальнодействие во взаимодействиях между электрическими зарядами. По мысли авторов поля представляли некоторые умозрительные модели, которые делали эти взаимодействия более наглядными и упрощали расчеты. Никаких представлений о природе этих полей не существовало. Под «полем» творцы электродинамики предполагали некоторую деформацию всепроникающей гипотетической среды — «эфира», — заполняющей всё мировое пространство. Хотя мировому эфиру приходилось приписывать странные и противоречивые свойства, в его существовании в середине XIX века никто не сомневался.
Всякая мысленная модель обладает лишь теми свойствами, которыми, руководствуясь экспериментом, её наделяет автор. Например, электрическое поле создаётся зарядами, «деформирующими» мировой эфир. Эта деформация приводит к тому, что в любой точке электрического поля на заряд действует сила, пропорциональная этому заряду. Коэффициент пропорциональности (напряжённость поля E(r) ) и стал единственной характеристикой электрического поля. Сложнее было с оценкой параметра, характеризующего интенсивность магнитного поля. Но и ему нашли определяющий параметр — напряжённость магнитного поля H(r) , характеризующую «вращательную способность» поля (момент сил, действующий на единичный магнитный момент). Некоторое недоумение вызывала экспериментально обнаруженная связь между электрическими и магнитными явлениями. Можно было предполагать, что это — результат взаимодействия загадочных электрических и магнитных «деформаций» мирового эфира, природу которых удастся разгадать позднее.
В течение полувека обе модели исправно выполняли возложенную на них миссию. Эта благостная картина была разрушена в начале XX века, когда появилась специальная теория относительности (СТО). Эта теория отрицает существование избранной системы координат, каковой представлялся мировой эфир. Это понятие было исключено из научного обихода, и мировое пространство осталось абсолютно пустым. Лишённые материальной основы, поля «зависли в вакууме». Чеширский кот исчез, но осталась его улыбка — взаимодействие между полями, которое невозможно между мысленными понятиями. Снова появился призрак дальнодействия, ибо — согласно СТО — скорость движения ограничена лишь для материальных объектов. Чтобы сохранить СТО, пришлось «материализовать» электрическое и магнитное поля. Их наделили массой, импульсом, энергией и прочими атрибутами материальных объектов.
Вихревое ли магнитное поле?
Как же смотрится магнитное поле (МП) сегодня?
В школе нам объясняли, что линии напряженности магнитного поля замкнуты и представляют концентрические окружности вокруг провода с током. Поле, линии которого замкнуты, называется вихревым. Став постарше, мы узнали, что вихревое поле характеризуется дифференциальным соотношением: div H = 0 , что означает, что не существует магнитных «зарядов» — северного и южного «монополей». В точках пространства, занятого вихревым полем, существует «завихрённость», что выражается зависимостью rot H ≠ 0 . Дж. Максвелл ввёл оба соотношения в систему дифференциальных уравнений электродинамики. Для стационарного магнитного поля второе соотношение было записано в виде

где j — плотность электрического тока в данной точке поля.
Стационарное магнитное поле создаётся, например, проводом, по которому протекает постоянный электрический ток. МП тока заполняет всё пространство, ослабевая обратно пропорционально квадрату расстояния с удалением от тока. Но — согласно уравнению (1) — «завихрённость» существует лишь в тех точках, где j отлично от нуля, то есть в точках, принадлежащих проводу. Можно показать, что во всём остальном пространстве rot H ≡ 0 . То есть во всём бесконечном пространстве, за исключением самого провода, магнитное поле не является вихревым! Вместе с тем отсутствие «магнитных зарядов» не позволяет ему быть и потенциальным. Что же это за странный объект, который не удовлетворяет ни одному из условий реального (материального) поля?
Математическая теория поля создавалась в рамках механики жидкостей и газа — для описания векторных полей скоростей и ускорений в моделях сплошной среды. Одним из положений теории поля является вывод, что в идеальной (невязкой) сплошной среде образование вихрей невозможно. И наоборот — вихри, изначально («от рождения») существовавшие в идеальной среде, должны существовать вечно и исчезнуть не могут (согласно закону сохранения момента импульса). Но авторы идеи «материализации» магнитного поля не наделили его вязкостью, ибо для этого не было (и не могло быть!) никаких экспериментальных оснований. Так в электродинамике появилось безвихревое «вихревое» магнитное поле. Иногда математическое понятие «вихревое поле» трактуют как пространство, в некоторых точках которого rot H ≠ 0 . Такое понимание неприемлемо для магнитного поля. Точки, принадлежащие току — это особые точки, которые нельзя считать точками поля, как нельзя считать точками электрического поля заряды, его создающие.
Продолжим, однако, рассмотрение процессов, в которых участвует магнитное поле.
Взаимодействие МП с электрическими зарядами
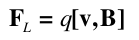
Важнейшим взаимодействием в электродинамике является силовое взаимодействие МП с электрическими зарядами. Впервые это взаимодействие обнаружил Ампер в 1820 году. Он установил, что на провод с электрическим током в МП действует сила («сила Ампера»). Так как на провод без тока МП не действовало, то было очевидно, что сила Ампера — результат воздействия МП на движущиеся по проводу электроны. Анализируя эти результаты, Х. Лоренц построил теорию взаимодействия МП с одиночными заряженными частицами. Воздействие МП с магнитной индукцией B на частицу с зарядом q , движущуюся со скоростью v , определяется силой Лоренца

Никакая другая зависимость в электродинамике не вызывает столько вопросов, сомнений и возражений, как соотношение (2). Так как сила Лоренца всегда перпендикулярна скорости частицы, то МП не может передать движущейся частице какую-либо энергию. Отсюда широко распространенное убеждение, что магнитная сила работы над зарядом совершать не может. Это утверждение вызывает недоуменные вопросы: а какая же сила поднимает тонны металлолома с помощью электромагнитов? Какова природа «пондеромоторных» сил взаимодействия между проводами с токами? И, наконец, сила Ампера, исправно работающая во всех электродвигателях, разве она не магнитная?
Большинство специалистов по электродинамике лукавят, предпочитая не замечать этого противоречия. Но некоторые авторы добросовестно пытаются объяснить этот «парадокс» (см., например,1). Чтобы не исказить авторскую мысль, приведем это объяснение полностью:
… роль сторонних сил, поддерживающих ток в контуре, играют магнитные силы. Работа этих сил над единичным положительным зарядом, равная по определению ЭДС, оказывается отличной от нуля. Это обстоятельство находится в кажущемся противоречии с высказанным … утверждением о том, что магнитная сила работы над зарядом совершать не может. Противоречие устраняется, если учесть, что [сила Лоренца] представляет собой не полную магнитную силу, действующую на электрон, а лишь параллельную проводу составляющую этой силы, обусловленную скоростью [движения проводника]. Под действием этой составляющей электрон приходит в движение вдоль провода1.
Аккуратный анализ такого объяснения показывает, что оно не устраняет противоречие. Я не стану приводить здесь этот анализ. Ограничусь лишь мысленным экспериментом, менее научным, но достаточно убедительным.

Допустим, в магнитном поле В со скоростью v1 движется проводник (Рис. 1). Чтобы создать ЭДС, нужно переместить свободные заряды (электроны) на конец проводника. Для этого сила Лоренца должна сообщить им некоторую скорость v2 вдоль проводника. Но именно этого сила Лоренца сделать и не может: с появлением составляющей v2 скорость электрона стала бы равной v0 > v1 , что противоречит зависимости (2).
К силе Лоренца много претензий и у классической механики. Согласно зависимости (2) сила Лоренца в однородном магнитном поле «сворачивает» траекторию заряженной частицы в окружность, сохраняя при этом скорость частицы (её кинетическую энергию). Но — согласно классической механике — материальный объект массой m , вращающийся с угловой скоростью ω , кроме поступательной энергии mv2 / 2 имеет ещё и вращательную составляющую Jω2 / 2 , где J — момент инерции тела. Откуда она возьмется? Так что у силы Лоренца, похоже, нелады с законом сохранения энергии… Нетрудно понять, что зависимость (2) нарушает и другие законы сохранения — импульса, момента импульса, а в самом взаимодействии отсутствует сила, ответная силе Лоренца, которая ей полагается по третьему закону Ньютона. Все эти соображения привели некоторых специалистов к заключению, что в электромагнитных взаимодействиях законы механики не работают (?!).
Таким образом, существующие представления о природе электромагнитных взаимодействий исключают возможность генерации ЭДС в проводнике, движущемся в магнитном поле. Но такая генерация — экспериментальный факт, который сегодня широко используется на практике! Специалисты-практики пользуются другими представлениями о природе электромагнитных взаимодействий. При этом они руководствуются исходными идеями, сформулированными ещё основоположниками электродинамики. Вот что писал о свойствах магнитного (и электрического) полей Дж. Максвелл:
[Фарадей] открыл, что в среде [содержащей поле] имеет место некоторое состояние напряжений, проявляющееся в натяжении, подобном натяжению веревки, в направлении силовых линий, соединенном с давлением во всех направлениях, к ним перпендикулярных2.
В электротехнике силы притяжения магнитов давно рассматриваются как «натяжение» силовых линий, а силы притяжения/отталкивания токов объясняют «давлением», возникающим в неоднородных магнитных полях. «Упругими» свойствами линий поля объясняются механические воздействия на проводники с током в электромагнитном поле (так называемые «пондеромоторные силы»).

На рисунке 2а показана положительно заряженная частица, движущаяся от нас в однородном магнитном поле B0 . Она создаёт собственное магнитное поле B1 , которое, складываясь с полем B0 , образует неоднородное результирующее поле B = B0 + B1 , градиент которого направлен вниз — в сторону более сильного поля. Это поле напоминает поле, представленное на рисунке 2б. Рисунок взят из учебника Калашникова3. Так автор объясняет природу пондеромоторных сил, старающихся деформировать соленоид с током. Эта картинка отражает тот же механизм, что и рисунок 2а. Разница лишь в том, что рисунок 2б иллюстрирует взаимодействие магнитного поля и проводника с током — силу Ампера, а на рисунке 2а показано взаимодействие магнитного поля с полем одиночного движущегося заряда. В таком поле существует градиент магнитного «давления». В результате на заряд действует сила FM , направленная противоположно этому градиенту. Можно показать, что по величине и направлению эта сила совпадает с силой Лоренца. Но это совпадение — лишь количественное. В отличие от силы Лоренца сила FM — это сила магнитного давления, которая может совершать работу над движущимися заряженными частицами, обращая эту работу в ЭДС.
Магнитное поле не может непосредственно воздействовать ни на неподвижный, ни на движущийся электрический заряд. Если оставаться в рамках существующей модели, можно предположить, что собственное магнитное поле движущегося заряда выступает в этом взаимодействии в роли «посредника», который передает усилие от внешнего поля заряду. Тогда взаимодействия магнитного поля с электрическими зарядами сводятся к силовому взаимодействию между магнитными полями. Таким образом, электромагнитные взаимодействия, которые мы сегодня условно называем «магнитными силами», следует считать истинно магнитными. В стороне остаётся вопрос, как это взаимодействие между магнитными полями передаётся собственно заряженной частице. Разрешение этой проблемы выходит за рамки данного исследования.
Замена силы Лоренца силой магнитного давления — это лишь «косметический ремонт» модели магнитного поля, который не может устранить принципиальные недостатки этой модели. Например, выполнение законов механики в электромагнитных взаимодействиях возможно лишь в том случае, если магнитное поле имеет массу, что противоречит здравому смыслу.
Есть ли структура у магнитного поля?
«Двуликая» природа ЭМИ тесно связана с представлениями о структуре магнитного поля. По мысли творцов электродинамики эта структура задаётся линиями поля. Объяснение явления ЭМИ «способом пересечения» предполагает у магнитного поля наличие такой структуры. «Теория взаимодействия полей» не нуждается в представлении магнитного поля силовыми линиями. Поэтому сторонники этой теории считают магнитное поле бесструктурным. Одним из таких сторонников был академик И. Е. Тамм. Критикуя «механизм пересечения», он писал:
… такая интерпретация не выдерживает никакой критики: силовые линии являются лишь вспомогательным понятием, … а не какими-либо материальными образованиями, отдельные элементы которых можно было бы индивидуализировать…4.
То есть, понимая, что магнитное поле — категория нематериальная, автор, тем не менее, не считает возможным мысленно наделить её некоторой структурой. (Между строк заметим, что эта точка зрения не помешала в свое время «материализовать» МП, присвоив ему массу, импульс и прочие свойства материального объекта!)
Мы показали, что разрешить некоторые «парадоксы» ЭМИ возможно лишь с помощью механизма пересечения, для которого структурированность магнитного поля — обязательное условие. Из-за того, что в электродинамике уже более 100 лет господствует «теория взаимодействия полей», долго не находили разрешения классические «парадоксы» — Геринга и Фарадея.
Все эти проблемы снимаются, если допустить, что магнитное поле имеет структуру, а магнитные силы — это силы натяжения и давления силовых линий.
Магнитное поле в космосе
Одним из основных выводов из системы уравнений Максвелла является предсказание существования электромагнитных волн (ЭМВ) и его гениальная догадка, что свет имеет электромагнитную природу. Вместе со светом электромагнитные взаимодействия «вышли в космос». Новое рабочее место потребовало от магнитного поля новых способностей.
Мы видели, что большинство «парадоксов» в электродинамике связано с идеей «взаимодействия полей». Альтернативой этой теории является «механизм пересечения», который предполагает участие заряженных частиц. Но СТО утверждает, что межзвёздное пространство пусто! В космосе нет (ну — почти нет!) заряженных частиц. Как же электромагнитные волны могут распространяться в пустом пространстве? Как в пустоте образуется ток, создающий магнитное поле — магнитную составляющую электромагнитных волн? И как в вакууме работает «механизм пересечения», генерирующий электрическую компоненту ЭМВ?
Стоит лишь удивляться (восторгаться!) изобретательности теоретиков, которые, пренебрегая законами природы и здравым смыслом, всё-таки «решили» все эти проблемы. Но это — отдельный разговор. Об истории этих изысканий, о новых свойствах, которыми наделили магнитное (и электрическое) поле теоретики и о новых «парадоксах», к которым привели эти разработки, мы расскажем позже. А пока обратимся к электрическому полю.
Савельев И. В. Курс общей физики. Т.2, с.177. — М.: Наука, 1978. — С. 177. ↩︎ ↩︎
Максвелл Д. К. Статьи и речи. — М.: Наука, 1968. — С. 59. ↩︎
Калашников С. К. Электричество: Учеб. пособие. — 6-е изд. — М.: Физматлит, 2004. — С. 191. ↩︎
Тамм И. Е. Основы теории электричества: Учеб. пособие для вузов. — М.: Физматлит, 2003. — С. 546. ↩︎
Комментарии
Вы можете добавить свой комментарий. Пожалуйста, оставляйте только комментарии по теме данной страницы.