Гармонические индукционные процессы
Кратко:
В движущемся проводящем отрезке индукционная ЭДС отстает от стороннего тока на четверть периода, а сторонний и потенциальный токи каждые четверть периода сменяют друг друга. В замкнутом контуре потенциальный ток является продолжением стороннего тока. Предполагается, что в индукционном кольце сторонняя энергия непосредственно переходит в джоулево тепло.
В предыдущем разделе мы рассмотрели работу генераторов постоянного тока и участие сторонних сил в процессе генерации электроэнергии. Главный вывод из этого рассмотрения заключается в том, что нельзя путать процесс генерации электрической энергии с процессами её превращения в другие виды энергии (работу, тепло и пр.). В этом заключается одна и та же ошибка, допущенная несколькими выдающимися исследователями. К сожалению, об этот же камень до сих пор спотыкаются многие специалисты по электродинамике, что существенно искажает наши представления об электромагнитных взаимодействиях.
Гармонический индукционный электрогенератор
Электромагнитная индукция — это процесс преобразования различных видов энергии (прежде всего — механической) в энергию электрическую. На этом принципе работают все электрогенераторы переменного тока — от велосипедной «динамки» до мощнейших агрегатов на ГЭС. Принцип получения электроэнергии с помощью электромагнитной индукции тот же, что и в других (например, химических) электрогенераторах: противодействуя кулоновским силам, сторонние силы разносят электрические заряды на выходные полюса генератора, создавая тем самым разность потенциалов — потенциальную электрическую энергию.
Сторонними силами в индукционных генераторах служат «магнитные силы». Согласно Фарадею, в проводнике, пересекающем линии магнитного поля, магнитные силы создают поток электронов. Этот ток и есть сторонний ток, создающий на концах проводника разность потенциалов — ЭДС. Условимся называть «индукционным током» именно этот — сторонний — ток. По Фарадею индукционный ток предшествует возникновению ЭДС индукции. Сегодня мы сказали бы, что индукционный ток опережает ЭДС индукции по фазе.
В первой половине XIX века электродинамика осваивала постоянные токи. Ещё не было представлений о гармонических токах, фазовых сдвигах и пр. Правила для разветвленных цепей постоянного тока были сформулированы Кирхгофом лишь в 1847 году. На цепи синусоидальных токов эти правила Д. У. Рэлей распространил лишь в 1886 году.
В XX веке электротехника перешла преимущественно на производство и использование переменных токов. Электроэнергия вырабатывается индукционными генераторами, создающими гармонические ЭДС. Но подробный анализ работы ЭМИ в процессах генерации гармонических токов отсутствует. Основные принципы и понятия электромагнитной индукции, разумеется, остались теми же, что и при Фарадее и Максвелле. Но это явление обогатилось новыми параметрами, рассмотрение которых может вскрыть некоторые интересные особенности индукционного процесса.

До тех пор, пока электромагнитная индукция имела «два лица», говорить о гармонических индукционных процессах было по меньшей мере затруднительно. Мы показали, что природа ЭМИ едина во всех её проявлениях, и во всех случаях может быть описана «механизмом пересечения» линий магнитного поля электрическими зарядами (проводниками). Теперь можно рассмотреть некоторые детали процесса генерации гармонической индукционной ЭДС.
Чтобы получить гармоническую ЭДС в движущемся проводнике длиной l (см. Рис. 1), заставим проводящий отрезок совершать в однородном магнитном поле с индукцией B колебательные движения со скоростью, изменяющейся, например, по закону

где vm — амплитуда, а ω — циклическая частота колебаний.
Элементарный магнитный поток, который пересекает проводник за время dt , определяется зависимостью

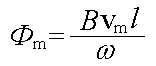
Интегрирование этого выражения даёт для магнитного потока, пересекаемого проводником, гармоническую функцию:

где

это амплитудное значение магнитного потока.
В данном рассмотрении сторонняя («магнитная») сила по величине и направлению может быть представлена формулой Лоренца, согласно которой сила пропорциональна скорости пересечения электрическими зарядами линий магнитного поля (скорости проводника) и, следовательно, описывается гармонической функцией, совпадающей по фазе со скоростью (1):

Здесь

— амплитудное значение сторонней силы.
Магнитная сила создаёт в проводнике гармонический индукционный ток

что можно представить в виде соотношения для элементарного заряда

Интегрируя (6), получаем зависимость от времени величины заряда, создаваемого на концах проводника сторонним током,

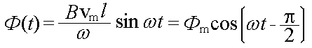
где q(t) — максимальный заряд. Заряды, скопившиеся на концах проводника, создают индукционную ЭДС Э(t) , пропорциональную заряду. Поэтому зависимость ЭДС индукции от времени будет выражаться аналогичной функцией

которая совпадает по фазе с магнитным потоком, но на четверть периода отстает от стороннего тока (5).
Сдвиг фаз между создаваемой ЭДС и индукционным током — это характерная черта индукционного процесса — визитная карточка сторонних сил!
Одновременно с ЭДС индукции в таком микрогенераторе возникает и обратная ЭДС

Во II четверти периода, когда сила Лоренца меняет направление, под действием этой ЭДС в проводнике появляется обратный (потенциальный, «кулоновский») ток

отстающий от ЭДС Эi на четверть периода и совпадающий по фазе со сторонним током (5). Заметим, что i' — не «чисто» потенциальный ток. Хотя он создаётся потенциальной ЭДС Эi , в его формировании участвует и сторонняя сила. В этом — причина отставания по фазе этого тока от обратной ЭДС.
К концу II четверти периода проводник полностью «разряжается», обе ЭДС (Э и Эi ) обращаются в нуль, а ток становится чисто сторонним.
Таким образом, в I и III четвертях периода происходит генерация электрической энергии, а во II и IV четвертях — её диссипация в джоулево тепло.
На Рис. 2а в координатной форме приведены зависимости (1)-(5), и (8)-(10), а на Рис. 2б — векторная диаграмма, на которой представлены фазовые соотношения между электрическими параметрами в разомкнутом «микрогенераторе»:

Если замкнуть микрогенератор на внешнее сопротивление R , то ЭДС индукции (8) создаст во внешней цепи синфазный с ней потенциальный ток

где im = Эm / R — его амплитудное значение. Видно, что этот ток не совпадает по фазе со сторонним током (5), а отстаёт от него на четверть периода. На концах проводника электрический ток терпит «разрыв».
Заметим, что в «замкнутом» режиме ЭДС, генерируемая сторонней силой, «разряжается» в обоих направлениях — как на внешнюю цепь, так и «внутрь» генератора (с обратным током). Поэтому ЭДС индукции Э изменяется со временем по закону, отличному от гармонического, и не достигает значения (8), как на холостом режиме работы. Соответственно, и все токи теряют гармонический характер. Все промышленные индукционные электрогенераторы работают именно в таком режиме — замкнутом на внешнюю нагрузку. Но в цепях генераторов большой мощности эта агармоничность ЭДС не заметна.
Фазовые соотношения в замкнутом контуре
Электромагнитная индукция в замкнутом проводящем контуре — это, пожалуй, единственный пример, где генерация и диссипация электрической энергии происходят одновременно. Но гармонический режим здесь имеет свои особенности.
Нами было высказано уже немало критических замечаний в адрес максвелловской формы представления закона электромагнитной индукции. Но в этой формуле есть ещё один штришок, о котором мы не говорили. Это — знак «-» перед производной от магнитного потока. Правда, ответственность за этот знак несет не Максвелл, а русский академик Эмилий Ленц, который в 1833 году внес этот минус в закон Фарадея для определения направления индукционного тока в замкнутом контуре. Правило Ленца формулируется так (цитирую по1):
Индукционный ток всегда имеет такое направление, что он ослабляет действие причины, возбуждающей этот ток.
Применительно к индукции по методу пересечения более подходящей является следующая формулировка этого правила, данная автором2:
Ток направлен так, что механическая сила, действующая на движущийся проводник, противоположна скорости (тормозит движение).
Правило Ленца задает направление тока, но так как авторы предполагали, что ток в контуре создаётся индукционной ЭДС, то оно относится и к направлению ЭДС. Для гармонических процессов это означает, что в замкнутом индукционном контуре ЭДС индукции и потенциальный ток совпадают по фазе. Так ли это?
Обсуждая возникновение индукционной ЭДС в замкнутом контуре по методу пересечения, мы показали, что этот контур можно собрать из n разомкнутых «микрогенераторов» предельным переходом n → ∞ . Из этого следует, что в замкнутом контуре должны выполняться те же фазовые соотношения, что и в разомкнутом микрогенераторе, то есть сторонний ток должен совпадать по фазе с обратным (потенциальным) током и с производной dФ/dt (см. Рис. 2б). Это означает, что в законе Максвелла должен был бы стоять знак «+». Однако всё не так просто — контур-то замкнут! А в замкнутом микрогенераторе существуют одновременно потенциальные токи как в направлении ЭДС индукции (прямой ток), так и в противоположном направлении (обратный ток). Какие же фазовые соотношения выполняются при гармоническом индукционном процессе в замкнутом кольце?
Замкнутый индукционный контур отличается от замкнутого на нагрузку микрогенератора тем, что «внешняя» цепь не отличается от «внутренней» — ЭДС генерируется во всём контуре. Поэтому потенциальный ток в замкнутом контуре, как и в разомкнутом микрогенераторе, является продолжением стороннего тока (см. Рис. 2а). Отсутствует разрыв в токе, как это имеет место в нагруженном на активную нагрузку микрогенераторе. То есть в замкнутом индукционном контуре действительно выполняются все фазовые соотношения, характерные для разомкнутого микрогенератора. В индукционном генераторе ЭДС должна опережать создаваемый ею потенциальный ток. Но тогда, как видно из векторной диаграммы на Рис. 2б, потенциальный ток в контуре должен создаваться не прямой, а обратной ЭДС! Для этого необходимо, однако, чтобы в замкнутом проводнике существовали неоднородности, на которых собираются заряды, создающие обратную ЭДС. Можно предположить, что эти неоднородности обусловлены периодичностью электрического поля в кристаллической структуре проводника. Однако это предположение требует теоретического анализа и дополнительных экспериментов.
Более правдоподобным нам кажется другой вариант:
В замкнутом контуре потенциальная ЭДС… вообще не возникает. В тепло переходит непосредственно сторонняя энергия. В пользу такого варианта электромагнитной индукции в замкнутом металлическом контуре можно привести два соображения:
- Какими бы силами (сторонними или потенциальными) ни перемещались электроны в металлическом проводнике, механизм тепловых потерь один и тот же. Разница в «прямом» и «обратном» сопротивлениях, как это имеет место в гальванических элементах, отсутствует. Это значит, что потери сторонней энергии на некотором участке проводника такие же, какими они были бы при таком же потенциальном токе. Это объясняет отсутствие разности потенциалов на любом участке контура (равенство ε = Ir на любом отрезке сопротивлением r ).
- Только таким механизмом можно объяснить тот частный случай, когда индуцируемая ЭДС какое-то время остаётся постоянной.
В любом случае дальнейший анализ индукционного процесса в замкнутом проводящем контуре представляет лишь академический интерес. Реальные электрогенераторы работают, как правило, в режиме индукционного генератора, замкнутого на внешнюю нагрузку.
Комментарии
Вы можете добавить свой комментарий. Пожалуйста, оставляйте только комментарии по теме данной страницы.